Full Case Study – Emails

Setting up a new .qmd file

For this case study, we will do what I expect you to do for the final project.

We will start by creating a new .qmd file.

  • Click on the File option on the top menu, choose New File then click on Quarto Document...
  • Fill out title and author and click on Create

The Data

Download the email data and set it up in your project.

In your .qmd file, add a code chunk for the follow (shortcut: option + command + i for macs, crtl + alt + i for windows)

library(tidyverse)
library(effects)

email <- read_csv("data/email.csv")

You can check the data dictionary to understand what the variables are.

Question

What factors have an effect on whether an email message is spam or not?

Descriptive statistics

What percentage of the data is spam?

email |>
  summarize(mean(spam))
mean(spam)
0.0935986

Descriptive statistics

What percentage of emails sent to multiple recipients spam?

email |>
  group_by(to_multiple) |>
  summarize(mean(spam))
to_multiple mean(spam)
0 0.1075432
1 0.0193548

What other variables can we investigate?

Plots

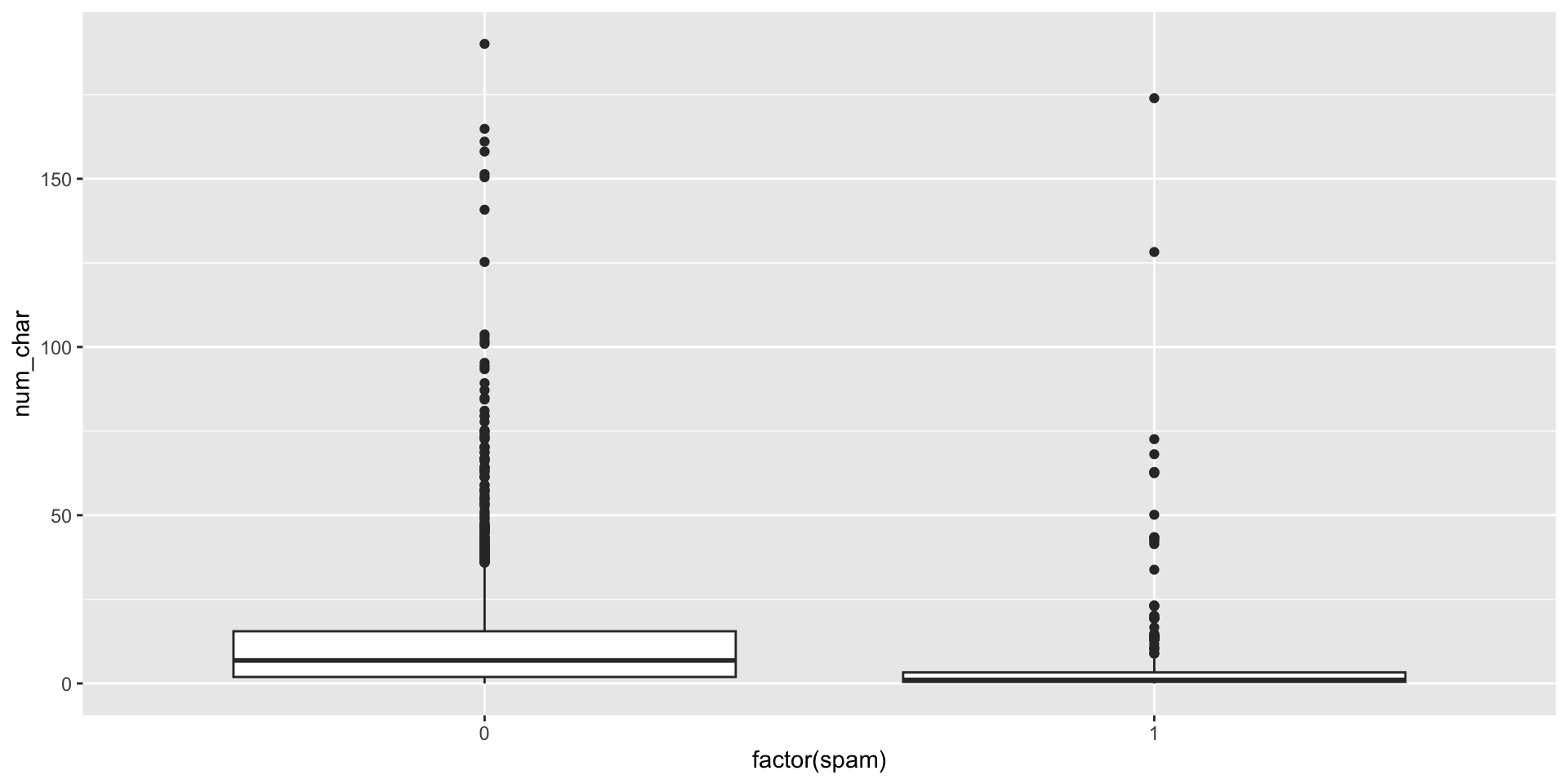
What is the distribution of number of characters of spam vs. non-spam messages?

email |>
  ggplot(aes(x = factor(spam), y = num_char)) +
  geom_boxplot()

What other plots can we create?

In-class activity

Go to gradescope and answer today’s in-class activity about plots

Model

What factors have an effect on whether an email message is spam or not?

model <- glm(spam ~ to_multiple + attach + num_char + number,
             data = email,
             family = binomial)
anova(model)
Df Deviance Resid. Df Resid. Dev Pr(>Chi)
NULL NA NA 3920 2437.180 NA
to_multiple 1 65.16041 3919 2372.019 0.0000000
attach 1 8.82110 3918 2363.198 0.0029777
num_char 1 98.71806 3917 2264.480 0.0000000
number 2 123.19374 3915 2141.286 0.0000000

Model

Variance explained

1 - model$deviance/model$null.deviance
[1] 0.1214081

Find a good model.

Interpret Results

You can check the effects of each variable.

effect("number", model) |>
  data.frame() |>
  arrange(fit)
number fit se lower upper
3 small 0.0481429 0.0042325 0.0404939 0.0571507
1 big 0.0925483 0.0130101 0.0700100 0.1213951
2 none 0.1854859 0.0190710 0.1509691 0.2257957

Results

  • Write up your results and render your document.
  • You will see that you now have .html files in your list of files.
  • Include the .html files for your final project submission