Multivariate Analysis

Multivariate Analysis

  • Multivariate analysis refers to statistical techniques used to analyze data that involves multiple variables simultaneously
  • Rather than examining each variable in isolation, multivariate methods consider the relationships and interactions among all variables

Multivariate Analysis

  • Widely used in fields like marketing research, ecology, psychology, medicine, and finance where complex datasets with many variables are common
  • Helps researchers identify patterns, test hypotheses, and make predictions based on multiple variables simultaneously

Multivariate Regression

  • We have run regression with one independent variable (x) only
  • When the variance explained of a model is low, we assume that there are other factors that explain the response variable that are not being considered in the model
  • Multivariate Regression: Examines relationships between multiple independent variables and one or more dependent variables.

Data

We will be working with the same data on movies and their rating.

library(tidyverse)
all_media <- read_csv("data/movies.csv")

Question

What is the effect of type and genre on rating?

Inferential Statistics

model <- lm(averageRating ~ genre + type,
            data = all_media)
summary(model)

Call:
lm(formula = averageRating ~ genre + type, data = all_media)

Residuals:
    Min      1Q  Median      3Q     Max 
-6.9196 -0.6299  0.1017  0.7512  4.9461 

Coefficients:
                  Estimate Std. Error  t value Pr(>|t|)    
(Intercept)       5.980290   0.004001 1494.848  < 2e-16 ***
genreAdult       -0.146381   0.010808  -13.544  < 2e-16 ***
genreAdventure    0.009168   0.005931    1.546 0.122113    
genreAnimation   -0.241429   0.011104  -21.742  < 2e-16 ***
genreBiography    0.628527   0.008904   70.589  < 2e-16 ***
genreComedy       0.039077   0.004068    9.607  < 2e-16 ***
genreCrime        0.118833   0.005486   21.661  < 2e-16 ***
genreDocumentary  0.640106   0.004993  128.189  < 2e-16 ***
genreDrama        0.268465   0.004416   60.793  < 2e-16 ***
genreFamily      -0.014477   0.010263   -1.411 0.158361    
genreFantasy      0.026625   0.014903    1.786 0.074021 .  
genreFilm-Noir    0.364710   0.269527    1.353 0.176009    
genreGame-Show   -0.054079   0.011768   -4.595 4.32e-06 ***
genreHistory      0.547596   0.035981   15.219  < 2e-16 ***
genreHorror      -0.850390   0.008641  -98.410  < 2e-16 ***
genreMusical      0.610299   0.012929   47.205  < 2e-16 ***
genreMystery      0.061452   0.019323    3.180 0.001472 ** 
genreNews        -1.343697   0.027049  -49.677  < 2e-16 ***
genreReality-TV  -0.243151   0.008315  -29.243  < 2e-16 ***
genreRomance      0.059879   0.016413    3.648 0.000264 ***
genreSci-Fi      -0.178261   0.017747  -10.045  < 2e-16 ***
genreShort       -0.080398   0.009259   -8.683  < 2e-16 ***
genreSport        0.204031   0.024078    8.474  < 2e-16 ***
genreTalk-Show   -0.501142   0.019687  -25.455  < 2e-16 ***
genreThriller    -0.188485   0.013455  -14.008  < 2e-16 ***
genreWar          0.080935   0.040708    1.988 0.046792 *  
genreWestern      0.197201   0.012857   15.338  < 2e-16 ***
typeshort         0.746905   0.004148  180.046  < 2e-16 ***
typetvEpisode     1.299175   0.003038  427.574  < 2e-16 ***
typetvMiniSeries  0.880923   0.012215   72.121  < 2e-16 ***
typetvMovie       0.305417   0.006107   50.015  < 2e-16 ***
typetvSeries      0.771852   0.005780  133.532  < 2e-16 ***
typetvShort       0.729547   0.025748   28.334  < 2e-16 ***
typetvSpecial     0.783455   0.014180   55.251  < 2e-16 ***
typevideo         0.417346   0.006803   61.346  < 2e-16 ***
typevideoGame     0.814507   0.104161    7.820 5.30e-15 ***
---
Signif. codes:  0 '***' 0.001 '**' 0.01 '*' 0.05 '.' 0.1 ' ' 1

Residual standard error: 1.205 on 1071553 degrees of freedom
Multiple R-squared:  0.1892,    Adjusted R-squared:  0.1892 
F-statistic:  7144 on 35 and 1071553 DF,  p-value: < 2.2e-16

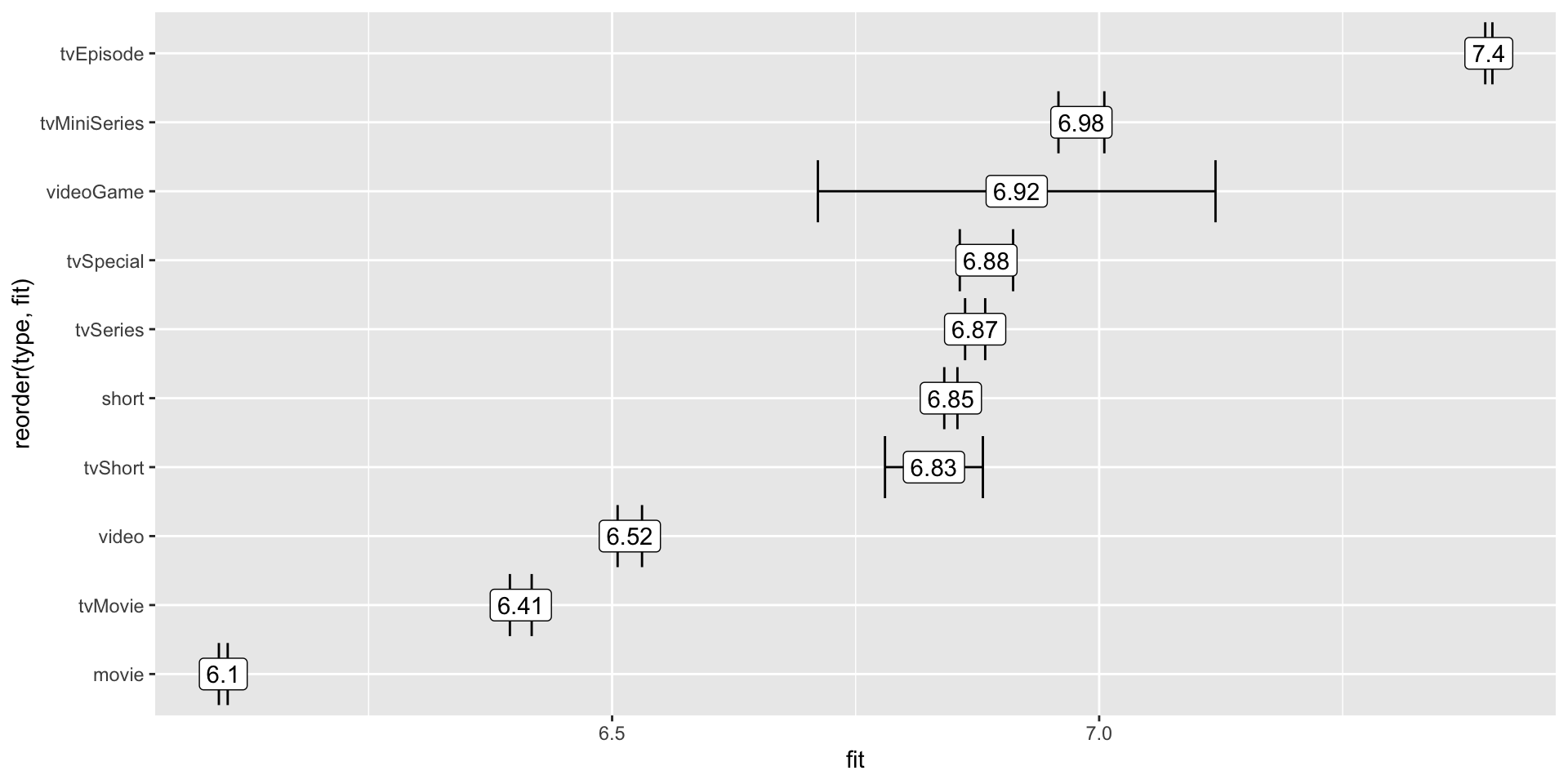
Visualizing Results

What is the effect of type and genre on rating?

library(effects)

effect("type", model) |>
  data.frame() |>
  ggplot(aes(x = fit, xmin = lower, xmax = upper,
             y = reorder(type, fit), label = round(fit, 2))) +
  geom_errorbar() +
  geom_label()

Visualizing Results

What is the effect of type and genre on rating?

effect("genre", model) |>
  data.frame() |>
  ggplot(aes(x = fit, xmin = lower, xmax = upper,
             y = reorder(genre, fit))) +
  geom_errorbar() +
  geom_point()

Question

What factors have an effect on rating?

Inferential Statistics

model <- lm(averageRating ~ genre + type + year + runtime + numVotes,
            data = all_media)
summary(model)

Call:
lm(formula = averageRating ~ genre + type + year + runtime + 
    numVotes, data = all_media)

Residuals:
    Min      1Q  Median      3Q     Max 
-6.9748 -0.6314  0.1068  0.7494  4.9290 

Coefficients:
                   Estimate Std. Error  t value Pr(>|t|)    
(Intercept)      -4.686e+00  1.112e-01  -42.132  < 2e-16 ***
genreAdult       -1.078e-01  1.075e-02  -10.021  < 2e-16 ***
genreAdventure    3.851e-02  5.904e-03    6.522 6.94e-11 ***
genreAnimation   -1.929e-01  1.105e-02  -17.455  < 2e-16 ***
genreBiography    5.944e-01  8.863e-03   67.066  < 2e-16 ***
genreComedy       5.881e-02  4.050e-03   14.521  < 2e-16 ***
genreCrime        1.309e-01  5.457e-03   23.989  < 2e-16 ***
genreDocumentary  6.187e-01  4.984e-03  124.144  < 2e-16 ***
genreDrama        2.760e-01  4.395e-03   62.803  < 2e-16 ***
genreFamily       3.520e-02  1.022e-02    3.445 0.000571 ***
genreFantasy      1.054e-02  1.482e-02    0.711 0.477009    
genreFilm-Noir    6.351e-01  2.680e-01    2.370 0.017812 *  
genreGame-Show   -9.689e-02  1.172e-02   -8.270  < 2e-16 ***
genreHistory      5.363e-01  3.578e-02   14.988  < 2e-16 ***
genreHorror      -9.003e-01  8.616e-03 -104.497  < 2e-16 ***
genreMusical      6.594e-01  1.286e-02   51.258  < 2e-16 ***
genreMystery      5.447e-02  1.922e-02    2.834 0.004593 ** 
genreNews        -1.330e+00  2.690e-02  -49.453  < 2e-16 ***
genreReality-TV  -2.832e-01  8.285e-03  -34.184  < 2e-16 ***
genreRomance      3.815e-02  1.633e-02    2.336 0.019471 *  
genreSci-Fi      -2.076e-01  1.765e-02  -11.757  < 2e-16 ***
genreShort       -6.313e-02  9.209e-03   -6.854 7.16e-12 ***
genreSport        2.078e-01  2.394e-02    8.676  < 2e-16 ***
genreTalk-Show   -5.269e-01  1.958e-02  -26.907  < 2e-16 ***
genreThriller    -2.383e-01  1.340e-02  -17.784  < 2e-16 ***
genreWar          1.506e-01  4.049e-02    3.720 0.000199 ***
genreWestern      4.418e-01  1.302e-02   33.931  < 2e-16 ***
typeshort         7.434e-01  4.133e-03  179.875  < 2e-16 ***
typetvEpisode     1.255e+00  3.089e-03  406.313  < 2e-16 ***
typetvMiniSeries  8.255e-01  1.216e-02   67.868  < 2e-16 ***
typetvMovie       2.981e-01  6.078e-03   49.049  < 2e-16 ***
typetvSeries      7.263e-01  5.772e-03  125.845  < 2e-16 ***
typetvShort       7.175e-01  2.561e-02   28.022  < 2e-16 ***
typetvSpecial     7.242e-01  1.412e-02   51.289  < 2e-16 ***
typevideo         3.763e-01  6.788e-03   55.444  < 2e-16 ***
typevideoGame     7.620e-01  1.036e-01    7.357 1.89e-13 ***
year              5.335e-03  5.570e-05   95.780  < 2e-16 ***
runtime           3.691e-07  3.245e-07    1.137 0.255373    
numVotes          2.798e-06  5.444e-08   51.392  < 2e-16 ***
---
Signif. codes:  0 '***' 0.001 '**' 0.01 '*' 0.05 '.' 0.1 ' ' 1

Residual standard error: 1.199 on 1071550 degrees of freedom
Multiple R-squared:  0.1982,    Adjusted R-squared:  0.1982 
F-statistic:  6972 on 38 and 1071550 DF,  p-value: < 2.2e-16

Inferential Statistics

just_movies <- all_media |>
  filter(type == "movie")

model_movie <- lm(averageRating ~ genre + year + numVotes + runtime,
                  data = just_movies)
summary(model_movie)

Call:
lm(formula = averageRating ~ genre + year + numVotes + runtime, 
    data = just_movies)

Residuals:
    Min      1Q  Median      3Q     Max 
-8.0407 -0.7211  0.0701  0.7729  5.2770 

Coefficients:
                   Estimate Std. Error t value Pr(>|t|)    
(Intercept)       5.913e+00  1.841e-01  32.112  < 2e-16 ***
genreAdult       -1.857e-01  2.109e-02  -8.802  < 2e-16 ***
genreAdventure    2.703e-01  1.326e-02  20.385  < 2e-16 ***
genreAnimation    5.166e-01  4.352e-02  11.871  < 2e-16 ***
genreBiography    1.279e+00  1.465e-02  87.289  < 2e-16 ***
genreComedy       2.175e-01  8.610e-03  25.257  < 2e-16 ***
genreCrime        3.645e-01  1.237e-02  29.459  < 2e-16 ***
genreDocumentary  1.548e+00  9.429e-03 164.195  < 2e-16 ***
genreDrama        5.690e-01  8.278e-03  68.736  < 2e-16 ***
genreFamily       3.598e-01  2.602e-02  13.827  < 2e-16 ***
genreFantasy     -7.852e-03  3.094e-02  -0.254 0.799679    
genreFilm-Noir    6.699e-01  2.729e-01   2.455 0.014098 *  
genreGame-Show    1.736e+00  1.220e+00   1.423 0.154711    
genreHistory      1.056e+00  7.174e-02  14.721  < 2e-16 ***
genreHorror      -9.357e-01  1.313e-02 -71.242  < 2e-16 ***
genreMusical      9.611e-01  3.010e-02  31.927  < 2e-16 ***
genreMystery      1.774e-01  3.240e-02   5.475 4.38e-08 ***
genreNews         1.492e+00  4.980e-01   2.995 0.002742 ** 
genreReality-TV   7.571e-01  2.393e-01   3.163 0.001560 ** 
genreRomance      3.628e-01  2.443e-02  14.853  < 2e-16 ***
genreSci-Fi      -4.333e-01  3.689e-02 -11.743  < 2e-16 ***
genreSport        9.082e-01  8.592e-02  10.570  < 2e-16 ***
genreTalk-Show    9.112e-01  4.611e-01   1.976 0.048154 *  
genreThriller    -7.378e-02  1.989e-02  -3.709 0.000208 ***
genreWar          2.902e-01  5.721e-02   5.073 3.93e-07 ***
genreWestern      1.486e-01  2.672e-02   5.563 2.66e-08 ***
year             -1.301e-04  9.217e-05  -1.411 0.158220    
numVotes          2.943e-06  5.848e-08  50.327  < 2e-16 ***
runtime           9.125e-05  1.312e-05   6.956 3.50e-12 ***
---
Signif. codes:  0 '***' 0.001 '**' 0.01 '*' 0.05 '.' 0.1 ' ' 1

Residual standard error: 1.22 on 287315 degrees of freedom
Multiple R-squared:  0.1847,    Adjusted R-squared:  0.1846 
F-statistic:  2324 on 28 and 287315 DF,  p-value: < 2.2e-16

Inferential Statistics

anova(model_movie)

Case Study

Download data on American Idol, set up your analysis environment, and answer the following question:

What factors have an effect on episode rating?